服务热线
关于MOSFET的寄生容量和温度特性
MOSFET的静电容量
功率MOSFET在构造上,如图1存在寄生容量。
功率MOSFET在构造上,如图1存在寄生容量 MOSFET的G (栅极) 端子和其他的电极间由氧化膜绝缘,DS (漏极、源极) 间形成PN接合,成为内置二极管构造。Cgs, Cgd容量根据氧化膜的静电容量、Cds根据内置二极管的接合容量决定。
一般而言MOSFET规格书上记载的是表1中的Ciss/Coss/Crss三类。
| 记号 | 算式 | 含义 |
| Ciss | Cgs+Cgd | 输入容量 |
| Coss | Cds+Cgd | 输出容量 |
| Crss | Cgd | 反馈容量 |
容量特性如图2所示,对DS (漏极、源极) 间电压VDS存在依赖性。VDS大则容量值小。
温度特性
实测例见图(1) ~ (3)所示
关于容量特性的温度依存性几乎没有差异。
关于MOSFET的开关及其温度特性
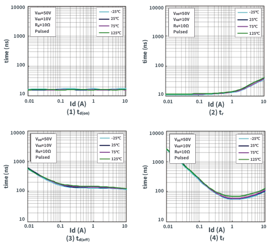
关于MOSFET的开关时间
栅极电压ON/OFF之后,MOSFET才ON/OFF。这个延迟时间为开关时间。开关时间如表1所示种类,一般而言,规格书上记载td(on)/ tr/ td(off)/ tf。
Slkor根据图2电路的测定值决定规格书的typ.值。
温度特性
实测例如图3(1)~(4)所示。
温度上升的同时开关时间略微增加,但是100°C上升时增加10%成左右,几乎没有开关特性的温度依存性。
关于MOSFET的VGS(th)(界限値)
关于MOSFET的VGS(th)
MOSFET开启时,GS (栅极、源极) 间需要的电压称为VGS(th)(界限值)。
即输入界限值以上的电压时MOSFET为开启状态。
那么MOSFET在开启状态时能通过多少A电流?针对每个元件,在规格书的电气特性栏里分别有记载。
表1为规格书的电气特性栏示例。该情况下,输入VDS=10V时,使1mA电流通过ID所需的栅极界限值电压ID(th)为1.0V to 2.5V。
ID-VGS特性和温度特性
ID-VGS特性和界限值温度特性的实测例如图1、2所示。
如图1,为了通过绝大部分电流,需要比较大的栅极电压。
表1所记载的机型,其规格书上的界限值为2.5V以下,但是为4V驱动产品。
使用时请输入使其充分开启的栅极电压。
如图2,界限值随温度而下降。
通过观察界限值电压变化,能够计算元件的通道温度。





粤公网安备44030002007346号